M型流量計的數值模擬與數字化標定
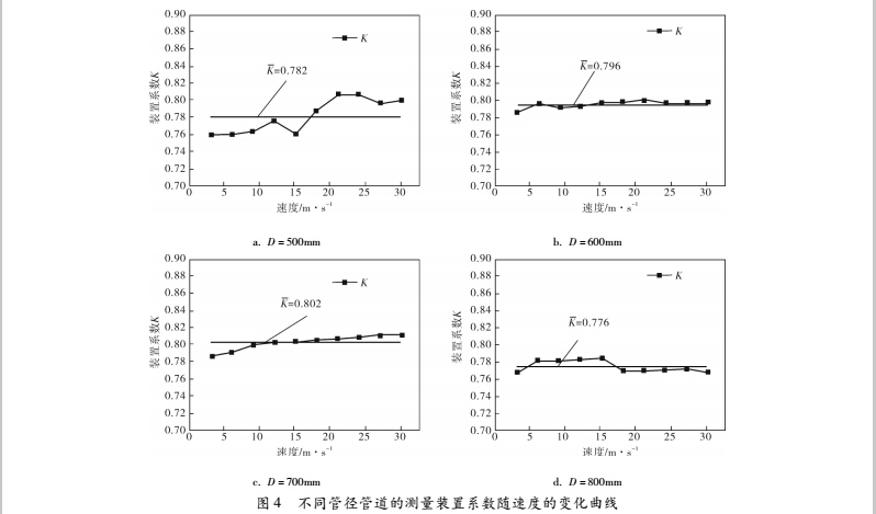
應用 Fluent 數值模擬軟件對 M 型流量計在圓管中的性能進行數值模擬研究。仿真結果表明:M 型流量計作為一種新型的差壓式流量計,其測量裝置系數 K 的線性度良好,在所計算的 4 種工況條件下均有良好的穩定性。
目前,流量測量技術在工業領域中得到了廣泛應用。但在非標準流量計的研究中,由于管道或工況復雜,急需一種測量精度高、儀表系數線性度穩定的流量計,因此 M 型差壓式流量計作為一種在穩定性及測量精度等方面表現良好的流量計,成為了應用極為廣泛的流量計之一。在此,筆者建立了 M 型流量計的數學模型,仿真計算了不同管徑管道下 M 型流量計的各壓力參數,研究其在復雜管道中的應用情況和穩定性,以提高 M 型流量計在實際管道應用中的防堵塞性能。
1.幾何結構
M 型流量計屬于差壓式流量計的一種。對于差壓式流量計,節流件的選取直接影響流量計的性能 。M 型流量計主要由迎流面和背流面兩組取壓管道組成( 圖 1) 。在裝置的上游產生高壓區,下游產生負壓區,從而產生穩定的壓差。


2.數值模擬計算
計算介質采用可壓縮空氣,應用 Gambit 軟件對幾何模型進行網格劃分,使用基于有限體積方法的 Fluent 軟件進行計算。利用 Fluent 數值仿真指導流量計的設計與優化已經成為研究流量儀表的一種很好的方法 。計算所采取的湍流模型為標準 k-ε 模型,采用 Simple 算法對壓力和速度進行耦合,同時,為了更加貼近實際工況,考慮了粘度及密度等物性的變化。
2. 1 數學模型
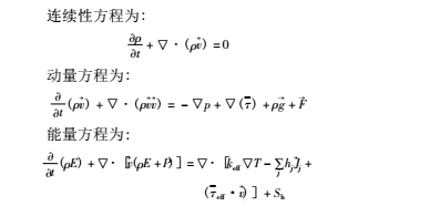
2. 1. 1 主要控制方程


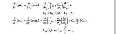
2. 1. 2 湍流模型
標準 k-ε 湍流模型的魯棒性非常好,適用于一般情況下的流場模擬,是應用***廣泛的湍流模型之一,其包括了渦粘度系數、湍動能及其耗散率等因素,對湍流的長度、尺度和湍流速度進行計算求解,是渦粘性發展起來的***簡單和完備的二方程模型 。
湍動能 k 和耗散率 ε 的輸運方程為:














3.結束語
采用 Fluent 數值模擬軟件對 M 型流量計進行計算分析,得出不同管道管徑下流量計的性能參數和速度分布,隨著速度的增加,壓差增加,性能更加穩定。仿真結果表明: M 型流量計在所計算的幾種工況條件下均有良好的性能,測量裝置系數K線性度較好,其隨管徑的變化有所變化,但幅度不大,滿足工程應用要求。后續需對管道內不同介質的流動狀態進行數值模擬分析,以使其更具有應用普遍性。
